Bomen
Begrippen
- Aantal takken is aantal knopen - 1
- Begin-knoop heet ‘wortel’
- Knopen zonder nieuwe takken, noemen we ‘bladeren’
- Soort nodes:
- Parent
- Children
- Siblings (broer en/of zus). Nodes op hetzelfde niveau met dezelfde parent
- Depth: lengte pad van node tot root
- Height: lengte naar diepste leaf onder de betreffende knoop
Implementaties
Simpele class met value en children-list
zie slides
public class Tree<T> {
public TreeNode<T> root;
}
public class TreeNode<T> {
public T value;
public List<TreeNode<T>> children;
}
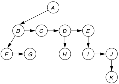
First-Child-Next-Sibling
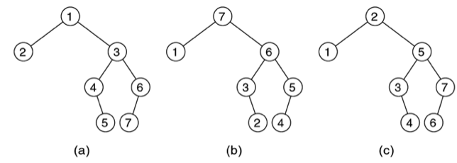
Een node heeft steeds een verwijzing naar een child en een sibling. De onderstaande afbeeldingen representeren dezelfde boom:


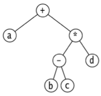
Binary Tree
- Iedere node heeft maximaal 2 children
- Kan gebruikt worden voor calculaties
public class BinaryTree<T> {
public BinaryNode<T> root;
}
public class BinaryNode<T> {
public T value;
BinaryNode<T> left;
BinaryNode<T> right;
}
Doorloop-methodes


- (a) Pre-Order: Current, Left, Right
- (b) Post-Order: Left, Right, Current
- (c) In-order: Left, Current, Right